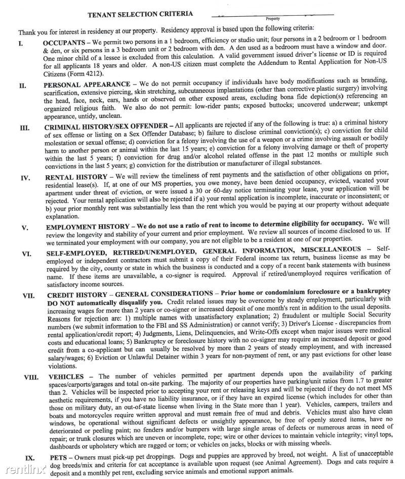
Nova Apartments for Rent
  • Places
  • Landlords
  • Favorites
  • Help
    About Colleges & Universities Scam & Fraud Guidance FAQ Disclaimer
    Terms of Use Privacy Policy
    Contact Support Report a Problem
    Post My Ad Visit EMG.ca
  • Login
  • Back
  • Add To Favorites
  • Inquire Now
  • Call Landlord
Previous Next
9931 Hyatt Resort Dr
Apartment
9931 Hyatt Resort Dr SAN ANTONIO, TX

From $1,766

  • 2 bed
  • 2 bath
  • 1357 sqft
brought to you by
It's easy to love life here! Located in the prestigious Westover Hills you'll be convenient to Lackland AFB and Kelly USA! Covered parking and direct-access garages are available as well as Wi-Fi in the clubhouse, business center and poolside! Spectacular amenities include a resort-style pool and spa, a theater with surround sound, fitness center with HDTV and a business center with high speed Internet. You'll never run out of things to do on-site with all the fabulous amenities available. Interior features include ceiling fans, washer and dryer hookups, individual climate control, window coverings, a fully-equipped kitchen, spacious patios/balconies plenty of storage space and more! * Pricing and availability change daily. Call for the most updated information. * Images are representative of the property, not necessarily the unit.
Furnished:
Yes
Listing ID:
3244012
Rentlinx ID#:
6907746
Distance to campus:
1150.02 mi

Features

  • Internet Ready
  • Dishwasher
  • Electricity Included
  • Gas Included
  • Water Included

Amenities

  • Pool
  • Unfurnished
  • Parking
  • Exercise Facility
  • Garage
  • Yard
(210) 718-0173

Listings close to this one

The Villages At Lost Creek #32
15302 Judson Rd San Antonio, Texas
$1,500 - $1,620
Apartment
  • 3 Bed
  • 2 Bath
  • 1150-Sqft
  • Ad# 4471398
The Villages At Lost Creek #24
15302 Judson Rd San Antonio, Texas
$1,190 - $1,345
Apartment
  • 2 Bed
  • 2 Bath
  • 954-Sqft
  • Ad# 4471397
The Villages At Lost Creek #84
15302 Judson Rd San Antonio, Texas
$1,075 - $1,225
Apartment
  • 2 Bed
  • 1.25 Bath
  • 881-Sqft
  • Ad# 4471396
The Villages At Lost Creek #48
15302 Judson Rd San Antonio, Texas
$1,095 - $1,245
Apartment
  • 1 Bed
  • 1 Bath
  • 734-Sqft
  • Ad# 4471395
Powered by Off-Campus Housing 101
Favorites
Places Roommates